相数增加提高功率因数
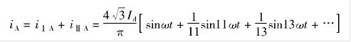
再利用式(3-16)和式(3-11)所示的Yd11变压器一次与二次线电流的关系,从上述桥II阀侧线电流表达式可得其感应的网侧线电流应为

(3-19)
故合成的网侧线电流为

(3-20)
可见,两个整流桥产生的5,7,17,19,…次谐波相互抵消,注入电网的只有12k±1(k为正整数)次谐波,且其有效值与谐波次数成反比,而与基波有效值的比值为谐波次数的倒数。
用与前述类似的方法可求得网侧电流基波因数约为

(3-21)
而位移因数仍然是

(3-22)
所以功率因数为

(3-23)
既然通过两个相角差30°的变压器分别供电的两个三相整流桥可构成12相整流电路,其网侧电流仅含12k±1次谐波,类似地,通过依次相差20°的三个变压器分别供电的三个三相整流桥就可构成18相整流电路,其网侧电流仅含18k±1次谐波;通过依次相差15°的四个变压器分别供电的四个三相整流桥就可构成24相整流电路,其网侧电流仅含24k±1次谐波。
作为一般规律,则以m个相位差π/3m的变压器分别供电的m个三相桥式整流电路可以构成6m相整流电路,其网侧电流仅含6m±1次谐波,而且各次谐波的有效值与其次数成反比,而与基波有效值的比值是谐波次数的倒数。另外,其位移因数均为cosα,而基波因数随相数提高而提高。用与前述类似的方法可求得18相整流电路的基波因数为0.9949,而24相整流电路的基波因数则达0.9971。